
Rørfisk - den skjulte biosikkerhetstrusselen
En god tommelfingerregel sier at ca. 25 % av vannvolumet i et RASanlegg, til enhver tid befinner seg utenfor fiskekarene. I rør, kanaler, filtre, bioreaktorer, luftesystemer og pumpesumper. For en liten fisk som måtte komme seg forbi primærsikringen ut av fiskekaret, er det dette miljøet som blir dens nye hjem. Og fisken kan selv bli hjem for eventuelle sykdomsfremkallende organismer. I en produksjon bestående av ulike fiskegrupper, adskilt i tid og rom gjennom brakklegging, vil denne rørfisken kunne utgjøre en betydelig biosikkerhetstrussel om den ikke fjernes.
Artikkelen er hentet fra siste nummer av LandbasedAQ og er basert på et innlegg holdt under Morefish-konferansen "Risiko i landbasert oppdrett"
Alt inn – alt ut
Brakklegging, for å bryte livssyklusen til sykdomsfremkallende organismer, er et enkelt og velfungerende biosikkerhetstiltak i anlegg for husdyrproduksjon. Men det å være sikker på at alt virkelig er ute, er svært viktig. I anlegg der vannet brukes kun én gang, er tomme og rengjorte fiskekar tilstrekkelig. I RAS-anlegget må man ikke glemme vannbehandlingsavdelingen. Står det levende fisk her, mens karene er tømt og rengjort, brytes hele alt-inn-alt-ut-prinsippet.
Risiko i landbasert oppdrett
-
Risikominimering ved flytting av stor fisk i RAS-anlegg
-
Mikrober, partikler og fiskehelse i landbaserte oppdrett
-
– Derfor fikk vi ikke til landbasert
-
Dette må til for å bedre både fiskehelse og produktivitet
-
Vekst på landet?
-
Elektrokjemisk vannbehandling: En nøkkel til god vannkvalitet?
-
Trenger innspill «fra dem som har skoen på»
-
Teknologi på naturens premisser – Hvordan bruke kontrollsystem for å lære av egne data?
-
Fem store risikoer i landbasert oppdrett
-
Nytt landbasert-magasin ute
Hvor stort er problemet?
Det er ikke lett å fastslå hvor omfattende problemet er, men vi tar sjansen på å si at de fleste som driver settefiskanlegg har oppdaget fisk på steder hvor den ikke burde vært. I et gjennomstrømmingsanlegg vil dette i praksis si i fiskesperren på hovedavløpet. I et RAS-anlegg kan det være i innløpskanalen som leder til partikkelfiltre, eller det kan være i bioreaktor eller pumpesump. Vi har til og med eksempler på funn av velfødde og flotte laks inne i oksygenkjegler. Utfordringer med rørfisk er størst i startfôringsavdelinger, men det er også observert i avdelinger med større fisk.
Sviktende rømmingssikring
Både Akvakulturdriftsforskriften og Forskrift om teknisk standard for landbaserte akvakulturanlegg, stiller krav om dobbelt rømmingssikring. En primærsikring ut av fiskekar, og en sekundærsikring på hovedavløpet ut av anlegget. Tilstedeværelsen av rørfisk viser at dobbeltsikringskravene er fornuftige, men det er selvfølgelig viktig å følge dem. Alle fiskesperrer må tilfredsstille kravene til minste fiskestørrelse. Og da er det ikke gjennomsnittsstørrelsen til fisken som gjelder, men størrelsen på de aller minste individene. Produksjonsplanen som lå til grunn for dimensjoneringen må følges, og i avdelinger med utskiftbare fiskesperrer må utskiftingen ikke skje for tidlig. Alle teknologiske løsninger må være gjennomtenkte, samt riktig produsert, montert og vedlikeholdt. Fiskesperrer må ikke kunne deformeres eller flyttes, og alle sammenføyninger må tåle dimensjonerende vanntrykk og andre laster. Fiskens evne til å hoppe må ikke undervurderes, og munker og avløpsrør må ha nødvendige lokk eller siler. Alle teknologiske løsninger må dessuten være tilpasset alle arbeidsoperasjoner knyttet til fisketransport, rengjøring etc. Arbeidsoperasjonene i seg selv må være godt beskrevet, og selvfølgelig følges.
Bioreaktorenes rolle som tilfluktssted
I forbindelse med gjentatte påvisninger av ulike patogener, med eller uten tilknyttet sykdom, er bioreaktorens rolle som tilfluktssted og smittereservoar diskutert. Og i den forbindelse - behovet for jevnlig desinfeksjon. Frykten til helsemyndighetene er at sykdomsfremkallende bakterier og virus overlever i biofilmen og sørger for nedsmitting av stadig nye innsett. Dette er et kunnskapsfelt med store hull, og i FHF-prosjektene BRAS og PathoRAS ønsker man å øke kunnskapen om dynamikken til patogene mikroorganismer i bioreaktorer.
I en artikkel publisert på i LandbasedAQ (nr 2 2023 – og på nett), diskuterte seks RAS-leverandører om biofilteret bør desinfiseres mellom hvert innsett. Deres råd er å unngå desinfeksjon så langt lover og regler tillater, og ellers søke størst mulig stabilitet i bioreaktorer med tanke på trivsel for de kjemotrofe bakteriene, fisken og de menneskene som jobber på anleggene. Gjennom denne tilnærmingen er målet å gjøre miljøet i bioreaktorene minst mulig egnet for sykdomsfremkallende virus og bakterier.
Hvor vil Baktus være?
For Karius og Baktus ble det magre tider da de ble skylt ut av munnen til Jens, og tilbrakte tiden på en tømmerflåte på havet. På jakt etter en ny munn å krabbe opp i, og nytt påfyll av loff og sirup. For patogene bakterier, og kanskje spesielt virus, som trives aller best i et trygt hjem inne i fiskevev og -celler, er antakelig en bioreaktor å regne som tømmerflåte på havet. Enhver rørfisk som dukker opp vil være en kjærkommen gave.
Det er dog viktig å ta med at forskjellige virus og bakterier vil ha ulik evne til overlevelse utenfor fisk.
Rørfisk som smittereservoar
IPN-virus (IPNV) er regnet som et av de mest hardføre fiskepatogene virusene, som kan «overleve» nokså lenge i miljøet utenfor en vert. Som en nødvendig detalj må det nevnes at fiskepatogene virus ikke kan «reprodusere» med mindre de er inne i en levende fiskecelle. I miljøet vil derfor antallet viruspartikler ikke bli høyere, snarere gradvis mindre, så lenge det ikke er fisk til stede.
I samarbeid med en kunde, gjennomførte vi en undersøkelse der vi påviste IPNV i biofilm fra ulike deler av RAS-anlegget. Ikke overraskende fant vi virus, men som alltid når man leter etter DNA/RNA, så vet man ikke om dette stammer fra levende, smittsomme organismer. Det vi imidlertid også fant, var IPNV-positive rørfisk med lave virusnivåer som, basert på størrelsen, hadde overlevd i avdelingen over flere innsett. Disse fiskene vil opplagt spille en sentral rolle i overføring av virus til nye innsett. Et godt råd før man tyr til tidkrevende vask og desinfeksjon, er derfor å gå på jakt etter rørfisk. Og finner man dem kan man avlive og fjerne dem fra systemet.
Utryddelse av rørfisk – praktisk gjennomføring
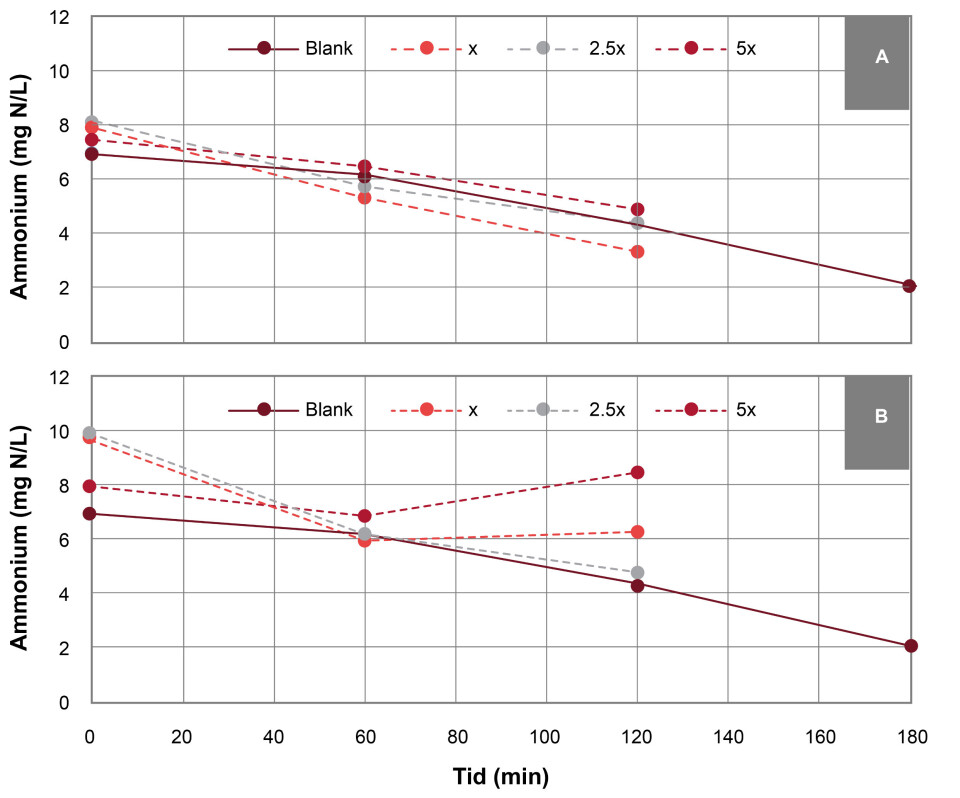
En fullstendig nedvask og desinfeksjon av et anlegg vil også ta livet av rørfisk, men for situasjoner der man ønsker å bevare bioreaktorens mikrobesamfunn, må man gå mer selektivt til verks. I et praktisk fullskalaforsøk i en startfôringsavdeling valgte vi å avlive rørfisk med overdosering av bedøvelse. En metode som er i tråd med “Utredning for Vitenskapskomiteen for Mattrygghet-bedøving og avliving av store mengder oppdrettsfisk utenfor slakteri”. Siden vi ønsket å opprettholde aktiviteten i bioreaktoren testet vi først effekten av to ulike bedøvelsesmidler på bioreaktorens nitrifikasjonskapasitet. I bøtteforsøk fant vi ingen redusert evne til omdanning av ammonium i forsøk med middel A, mens det var indikasjoner på at nitrifikasjonen ble hemmet av middel B (se figur 1).

Etter en volumberegning behandlet vi bioreaktoren, samt rørstrekket fra fiskekar til hovedavløpssperre, med middel A. I rørene stod vann med 10x dødelig dose i et døgn, mens 2 timers sirkulering av 10x bedøvelse i den nedtappede bioreaktoren (1 m vannstand) ble regnet som tilstrekkelig.
Resultatet av behandlingen var at en håndfull fisk ble fjernet fra trommelfiltre (Se toppbildet). Dødfisk i bioreaktoren ble ikke funnet, men vi antok at avlivet fisk brytes raskt og ukomplisert ned. Ved antakelse om større fiskebiomasse må metoder for fjerning vurderes.
Erfaringen fra felttesten, inkludert bøtteforsøket, viser at bedøvelse kan være en god metode for å avlive rørfisk i en RAS-avdeling uten at nitrifikasjonskapasiteten til bioreaktoren hemmes. Anlegget som deltok i forsøket, har etablert protokollen som et egnet tiltak mot etablering av rørfisk. Metodens egnethet i store avdelinger, der volumet (og kostnadene) kan være betydelig større, må vurderes.
Utryddelse av patogener eller rørfisk?
Fra annet hold har vi registrert at remodning av bioreaktor har gått så raskt som 2 uker etter det som angivelig har vært en suksessfull nedvask og desinfeksjon av bioreaktorer for å bli kvitt patogener. Vi har ingen grunn til å tvile på den rapporterte suksessen, men spør oss selv om suksessen virkelig skyldes fjerning av patogenene eller om det er rørfisken som ble fjernet. To ukers remodning av bioreaktorer skal ikke være mulig dersom desinfeksjonen har vært tilfredsstillende.
Hva har vi lært?
Fisk på avveie i RAS-anleggenes vannbehandlingsavdeling er antakelig vanlig. Rørfisk gjør at alt-inn-alt-ut-prinsippet brytes. Det er mer sannsynlig at gjentatte reinfeksjoner og etablerte «husstammer» skyldes infiserte rørfisk, enn at patogener har etablert seg i bioreaktorenes biofilm. Rørfisk kan utryddes vha. overdoser med bedøvelse, uten at bioreaktoren må tas ned. Nest etter forebygging av internrømming vil dette tiltaket antakelig ha større effekt på biosikkerheten enn regelmessig desinfeksjon av bioreaktoren.
For ytterligere informasjon om praktisk erfaring eller referanseanlegg ta gjerne kontakt med Pure Salmon Technology.